? ?東莞市晟鼎精密儀器生產的接觸角測量儀,其測量方法的圓法,橢圓法和拉普拉斯楊法。

? ?我們在之前的文案中,詳細的說明過圓法和橢圓法:/html/xwdt/xyxw/2776.html 這一篇,我們著重說拉普拉斯楊法,也就是楊氏方程:
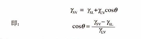
? ?接觸角和楊氏方程:
? ?設將液體滴在固體表面上,液體并不完全展開而與固體表面成一角度,即所謂的接觸角。以θ表示,接觸角的定義是:在氣-液-固三相交點處做氣-液界面的切線,此切線與固液交界線之間的夾角就是接觸角,利用接觸角來衡量液體對固體的潤濕程度,其優點是直觀,缺點是不能反應潤濕過程的能量變化。
?
? ?固體表面液滴的接觸角是固-氣-液界面間表面張力平衡的結果,液滴的平衡使得體系總能量趨于最小,因而使液滴在固體表面上處于穩態,一般來說,液滴在光滑平坦固體表面的接觸角可以用楊氏議程來表示 。
?

? ?楊氏議程是研究固-液潤濕作用的基礎,接觸角的大小是判定潤濕性能好壞的依據。
? θ<0 完全潤濕,液體在固體表面輔展,
? 0<θ<90度 液體可潤濕固體,且越小,潤濕性越好
? 90度<θ<180度 液體不潤濕固體
? θ=180度 完全不潤濕,液體在固體表面凝聚成小球
? ?應當指出,楊氏議程的應用條件是理想表面,即指固體表面是組成均勻,平滑,不變形(在液體表面張力的垂直分量的作用下)和各向同性的,只有在這樣的表面上,液體才有固體的平衡接觸角。
?
水滴角測量儀主要是用來測試物體表面的接觸角角度,通過水滴角度來分析判定物體表面的附著力、粘接性、疏水性、潔凈度等重要指標,主要用在手機玻璃鍍膜疏水性測試、相機鏡頭防指紋鍍膜噴涂、LED電子元件邦定前潔凈度分析、防水防腐材料研發生產等行業中。
? ?隨著手機行業的發展,手機蓋板,手機膜的表面處理性已越來越受到重視,許多廠家都希望通過接觸角測試儀來測試各種手機蓋板和保護膜的疏水性,來判斷手機玻璃蓋板的表面疏水程度,作為水滴接觸角測量儀的生產廠家,我司生產的儀器已覆蓋到珠三角多個手機供應鏈生產廠家。我司的半自動款水滴角測量儀SDC-100儀器測量水滴角數據準確,深受廣大用戶的喜愛。
晟鼎精密的水滴角測試儀有手動注液,自動注液,全自動款水滴角測試儀,測量方法有:圓法;切線法,橢圓法;L-Y法和微分圓(微分橢圓法)。以下,是晟鼎精密的接觸角測量儀詳細的測試步驟。
測試液體:純凈水
測試儀器:SDC-100接觸角測量儀
測試樣品:普通手機蓋板
測 試 員:任R

第一步:打開水滴角測試儀,和與之相連接的電腦;

第二步:手動滴液(自動滴液),手機行業的滴液標準是1-2微升。晟鼎精密的滴液精度可達0.01微升。滴液后通過上升樣品臺接到水滴角。

第三步:上升樣品臺接到水滴。首先調整水平,再把試樣置于工作臺上,利用微量進樣器調整液滴的量,使在針頭形成液滴,轉動旋鈕使工作臺上移,讓試樣表面與液滴接觸,再下移工作臺,試樣上即可留下液滴。

第四步:點擊凍結后,即可按下述方法進行接觸角的測量。將所顯示的測量尺通過點擊快捷按鈕左移或右移或上移或下移移至,測量尺與液滴邊緣相切。然后點擊下移下移測量尺將交叉點與液滴邊緣重合,點擊左旋按鈕,將測量尺與液滴一邊相交,再點擊計算,即可求出接觸角.軟件一鍵分析接觸角度。方便快捷準確。
