靜態接觸角常用測量方法
1、座滴法
早期的靜態接觸角測量方式采用量角器,通過肉眼確定基線,隨著數字技術的發展,出現以圖像為核心的接觸角測量方法。座滴法是最簡單、最直接、對硬件要求較低的測量方法,應用最為廣泛。座滴法接觸角的計算方法分為非基于模型和基于模型,非基于模型沒有全部利用液體的輪廓信息,例如切線法、寬高法;而基于模型的計算方法,需要預先假設一種輪廓模型,例如圓、橢圓或者ADSA-P,再將圖像采集到的液體輪廓點集帶入模型求解參數。在沒有噪聲干擾下理論精度大于前者。后續主要以座滴法的模型作為研究對象。
2、斜板法
斜板法一般用于絲狀細小的材料,將材料制作成幾厘米長的樣本插入液體中,調節樣品與液面的夾角,使樣品的其中一端液面處理水平狀態,此時液面與樣品的夾角θ為接觸角,如圖1-2所示。

圖1-2 斜板法模型
3、插板法
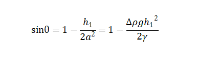
插板法需要將樣品垂直插入液面,假設固體能被液體浸潤,到達平衡時,液體爬升高度為,固體浸入深度為,則它們與接觸角之間的關系滿足式(1-4)。

圖1-3 插板法

(1-4)
式中:表示液體與氣體之間的界面張力;表示重力加速度;表示液相與氣相的密度差: 為該液體的毛細管長度(capillary length),稱為液體的毛細常數。
插板法處于平衡時,根據板子的重力,液體對板的浮力,表面張力,儀器對板身上的拉力,滿足式1-5:

(1-5)
式中:通過力學傳感器獲得
對于和有:

(1-6)

(1-7)
式中為為三相接觸線的長度,即板與液體相交的周長, 為板子插入液體的深度。將式子(1-6)和式子(1-7)代入式(1-5)得到

(1-8)
使用插板法則不需要通過液體的輪廓進行分析,但對于測試樣品需要確保表面足夠光滑、各處表面性能相同。
4、擄泡法
擄泡法與座滴法互為鏡像關系,如圖1-4所示,對于表面比較光滑的材料,其測量結果和座滴法已經得到驗證[1]。使用此方法可以解決材料比較親水時輪廓不易觀察的情況,并且有利用于控制測試液體的溫度。缺點是泡在液體里的材料容易導致濕潤性能改變,且測試時需要使用大量液體,容易造成浪費。

圖1-4 擄泡法模型
上一篇:接觸角測量儀在隱形眼鏡中的應用

